Портал для радиолюбителей
Статьи
Программы
Справочник
Соревнования
Журналы
История
Форум
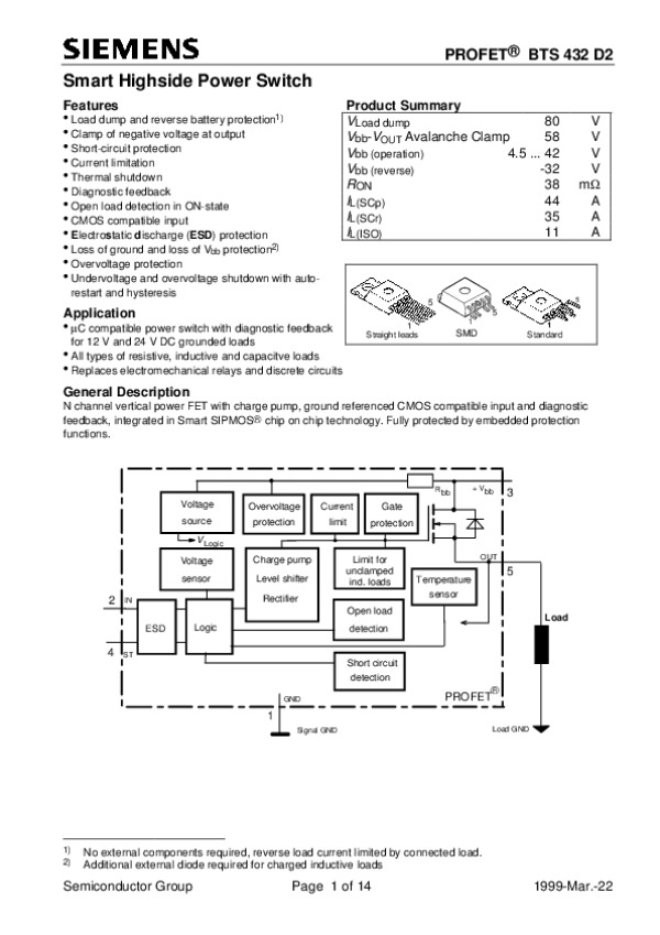
Просмотр технического описания на BTS432D2
Главная
->
Справочник
->
Не указан
-> Просмотр технического описания на BTS432D2
Поиск datasheet:
23383
файлов в базе данных
Datasheet BTS432D2:
Просмотреть файл
Загрузить файл
Размер файла: 190 Кб
© PavKo, 2007-2018
Обратная связь
Ссылки
views: 9177 -- users: 4664 -- web3