Портал для радиолюбителей
Статьи
Программы
Справочник
Соревнования
Журналы
История
Форум
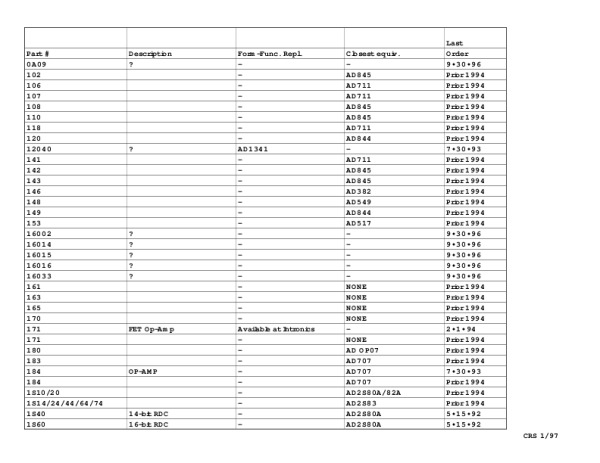
Просмотр технического описания на AD97
Главная
->
Справочник
->
Не указан
-> Просмотр технического описания на AD97
Поиск datasheet:
23383
файлов в базе данных
Datasheet AD97:
Просмотреть файл
Загрузить файл
Размер файла: 102 Кб
© PavKo, 2007-2018
Обратная связь
Ссылки
views: 19592 -- users: 6790 -- web3