Портал для радиолюбителей
   Две антенны на одном кабеле
    Главная -> Статьи -> Телевизионная техника -> Две антенны на одном кабеле


<< Назад в раздел   Распечатать Дата добавления: 2011-10-28 | Просмотров: 5226

Нередко в практике возникает проблема объединения двух антенн разных каналов на один фидер. Для этого можно применить типовую схему, изображенную на рис.1.

Схема
Puc.1

Катушки L1...L5 можно намотать эмалированным проводом диаметром 0,5...0,6 мм на одном каркасе, виток к витку. При этом необходимо учесть, что расстояние между торцами соседних катушек должно быть не менее 8 мм. Можно применить и бескаркасную намотку.

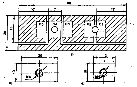
Если в распоряжении нет конденсаторов по 12 и 20 пФ, можно обойтись фольгированным гетинаксом или текстолитом. По рис.2а вырезаются контактные площадки. Прорези имеют ширину 1 мм (по толщине резака). По рис.26,в вырезают пластины из алюминия, дюраля или латуни толщиной 1,5...2,0 мм.

Контактные площадки
Puc.2

Эти пластины накладывают со стороны фольги на фольгиро-ванный материал, подложив предварительно прокладки из полиэтилена толщиной 0,1 мм. Годится полиэтилен от обычного полиэтиленового пакета. На рис.2а пунктирными линиями обозначено расположение пластин на фольге. Пластина по рис.26 образует конденсаторы СЗ, С4, С5, пластина (рис.2в) - конденсаторы С1 и С2. Остается припаять катушки L1...L5 в соответствии со схемой. Под винты М4 для этой цели нужно подложить шайбы из луженой жести, к которым удобно припаять катушки. Для защиты от атмосферной влаги надо покрыть всю конструкцию лаком или поместить в герметичный корпус. Отверстия под винты М4 со стороны фольги надо слегка раззенковать, чтобы не произошло замыкания конденсаторов через винты крепления пластин.

Если у радиолюбителя возникнет необходимость изготовить таким же способом конденсаторы для других целей, то нужно руководствоваться формулой:

C=(8,85*10-3*ES)/d

где С - емкость конденсатора в пФ;
S - площадь пластины конденсатора в мм2;
d - толщина слоя диэлектрика в мм;
E - диэлектрическая проницаемость диэлектрика.

Фидер
Puc.3

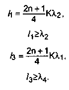
Есть и другой вариант соединения приемных TV-антенн на один фидер (рис.3). А1 - место подключения активного вибратора антенны, настроенной на волну Х1. Вибратор второй антенны, настроенной на волну L2, подключают к точкам А2. l2, l4 - симметрирующие четвертьволновые отрезки кабеля, длина которых определяется по формуле:

l=К(L/4),

где l - длина симметрирующего отрезка;
L - длина волны;
К - коэффициент укорочения кабеля.
Для кабелей с полиэтиленовой изоляцией К=0,67.

Обе антенны подсоединяют к общему фидеру на расстояниях от вибраторов, которые определяются из системы уравнений:

Формула

где n - любое целое число.

Здесь положены в основу следующие принципы:

- четвертьволновой отрезок линии, нагруженный на сопротивление меньше волнового, трансформирует его в сопротивление больше волнового;

- если к линии подключено сопротивление значительно больше волнового, оно практически не нагружает линию.

А.ЖЕРДЕВ, г.Гомель.

(РЛ-1/99)


Добавил:  Павел (Admin)  
Автор:  Неизвестно 

Вас может заинтересовать:

  1. Простой конвертер для приема телевидения MMDS 2,5-2,7 ГГц
  2. Доработка проходных керамических конденсаторов
  3. Как выбрать всеволновую телевизионную антенну
  4. Коллективный фильтр для ТВ антенн
  5. Самодельные направленные ответвители для кабельного телевидения


    © PavKo, 2007-2018   Обратная связь   Ссылки views: 20570 -- users: 19471 -- web3   Яндекс.Метрика