Портал для радиолюбителей
Статьи
Программы
Справочник
Соревнования
Журналы
История
Форум
Справочник по транформаторам
Справочник по транформаторам
ТАН:
Электрические схемы трансформаторов ТАН и таблица подключений
Справочные данные броневых трансформаторов ТАН1 - ТАН23
Справочные данные броневых трансформаторов ТАН24 - ТАН46
Справочные данные броневых трансформаторов ТАН47 - ТАН68
Справочные данные стержневых трансформаторов ТАН69 - ТАН82, ТАН104 - ТАН114
Справочные данные стержневых трансформаторов ТАН115 - ТАН138
ТН:
Электрические схемы трансформаторов ТН и таблица подключений
Справочные данные броневых трансформаторов ТН1 - ТН29
Справочные данные броневых трансформаторов ТН30 - ТН61
ТА:
Электрические схемы трансформаторов ТА и таблица подключений
Справочные данные броневых трансформаторов ТА1 - ТА27
Справочные данные броневых трансформаторов ТА28 - ТА54
Справочные данные броневых трансформаторов ТА55 - ТА87
Справочные данные броневых трансформаторов ТА88 - ТА122
Справочные данные броневых трансформаторов ТА123 - ТА162
Справочные данные броневых трансформаторов ТА163 - ТА177
Справочные данные стержневых трансформаторов ТА178 - ТА195
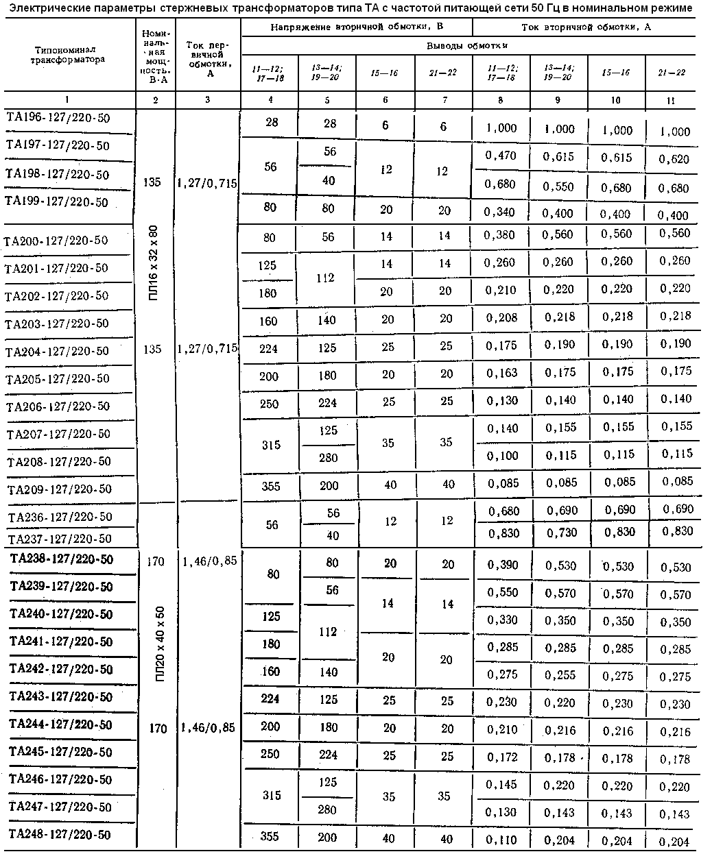
Справочные данные стержневых трансформаторов ТА196 - ТА209, ТА236 - ТА248
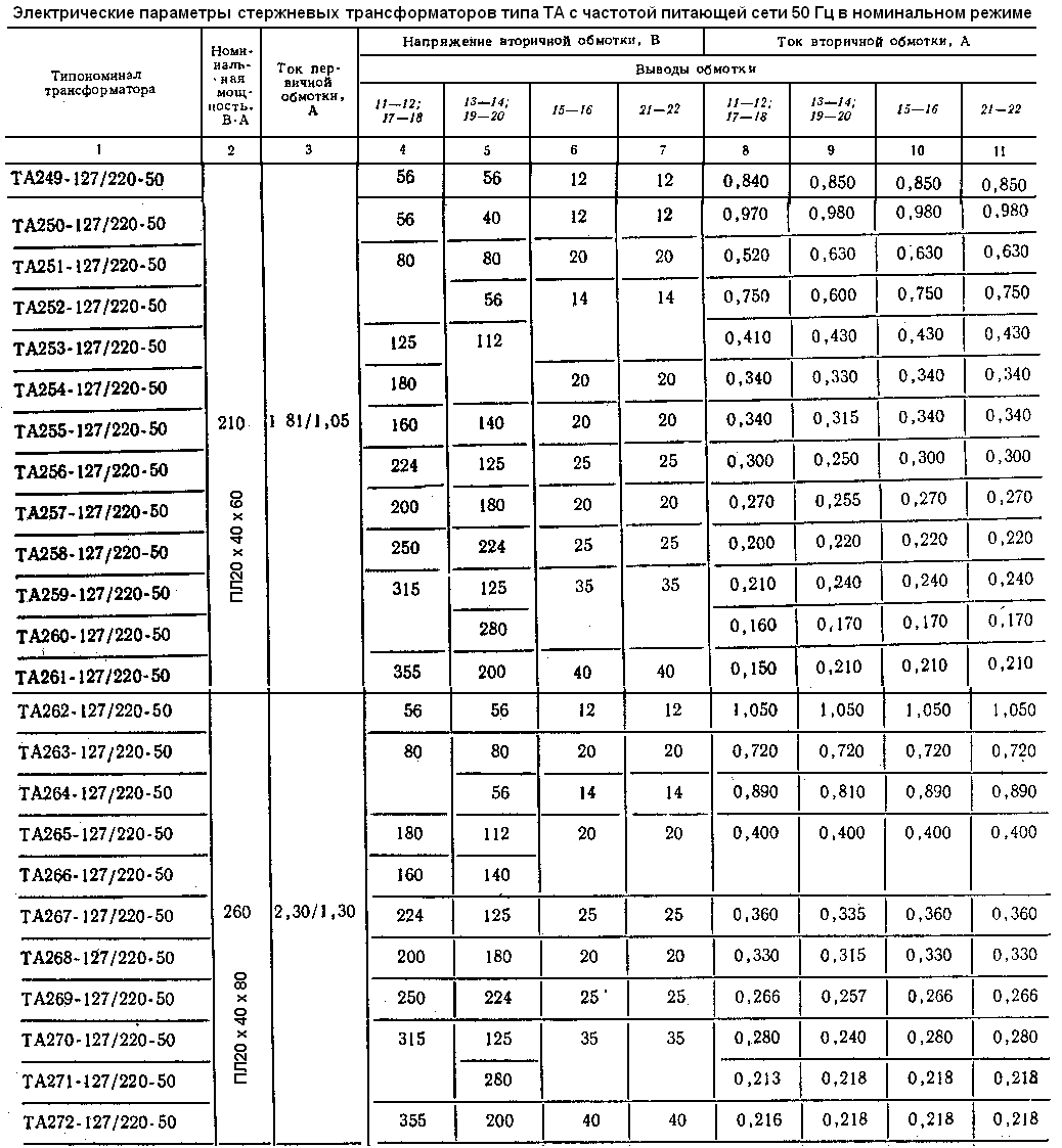
Справочные данные стержневых трансформаторов ТА249 - ТА272
Справочные данные стержневых трансформаторов ТА273 - ТА289
© PavKo, 2007-2018
Обратная связь
Ссылки
views: 6838 -- users: 6696 -- web3