Портал для радиолюбителей
   ОПРЕДЕЛЕНИЕ РАССТОЯНИЙ С ПОМОЩЬЮ QTH-ЛОКАТОРА
    Главная -> Статьи -> Радиоспорт, любительская радиосвязь -> ОПРЕДЕЛЕНИЕ РАССТОЯНИЙ С ПОМОЩЬЮ QTH-ЛОКАТОРА


<< Назад в раздел   Распечатать Дата добавления: 2008-08-08 | Просмотров: 7713

Для ультракоротковолновика очень важно уметь точно определять расстояние между корреспондентами. Обычно это делается так: определяется

по QTH-локатору местонахождение корреспондента на карте н затем измеряется расстояние линейкой. При этом, как показывает опыт, допускаются существенные ошибки: во-первых, из-за того, что пока отсутствует единая карта QTH-локаторов, во-вторых, возможны погрешности в измерениях, в-третьих, из-за того, что они производятся по прямой, а не по дуге окружности радиуса Земли.

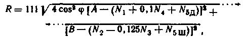
Предлагаемая формула позволяет, не используя карту, определять расстояние между корреспондентами на трассах до 2000 км. В этом случае погрешность в определении расстояний на средних широтах не будет превышать 1...1,5 км (размер стороны малого квадрата QTH-локатора). Эту формулу можно рекомендовать для использования при подсчете очков в УКВ соревнованиях, что исключит расхождение в подсчете очков и значительно облегчит работу судейской коллегии. Расстояние между корреспондентами рассчитывают по следующей формуле:

q-lok1.gif

где R - расстояние в километрах;
j - широта более южной станции (из двух);
N1- координатным номер первой буквы QTH-локатора;
N2 - то же, второй буквы;
N3 - первая цифра QTH-локатора:
N4 - вторая цифра QTH-локатора (если вторая цифра ноль, то полагают N4=10);
N, N - координатные номера последней буквы QTH-локатора;

А - координатное число собственного локатора по долготе (оно определяется так же, как и первое слагаемое в круглых скобках);

В - то же, по широте (определяется как второе слагаемое в круглых скобках)

Значения 4cos2j (определяется числом N3N4, которое представляет собой цифровую часть QTH-локатора, например, для SPI9e N3N4=19), N1, N2, N, N5Д для соответствующих букв и цифр QTH-локатора придены в таблице.

Буква QTH-локатора

Координатный номер

4 cos2j

N1 и N2

N

N

N3N4=61-80

N1N4=41-60

N3N4=21-40

N1N4=01-20

А, а

0

0,02

0,96

2,36

2,34

2,32

2,30

В, b

1

0,05

0,96

2,28

2,26

2,24

2,22

С, с

2

0,08

0,96

2,20

2,18

2,16

2,14

D, d

3

0,08

0,93

2,12

2,11

2,10

2,08

Е, е

4

0,08

0,89

2,06

2,05

2,04

2,02

F, f

5

0,05

0,89

2,00

1,98

1,96

1,94

G, g

6

0,02

0,89

1,92

1,90

1,89

1,87

Н,h

7

0,02

0,93

1,86

1,84

1,82

1,80

I

8

-

-

1,78

1,77

1,76

1,74

J, j

9

0,05

0,93

1,72

1,70

1,68

1,67

К

10

-

-

1,66

1,64

1,62

1,60

L

11

-

-

1,68

1,57

1,56

1,54

М

12

-

-

1,52

1,50

1,48

1,46

N

13

-

-

1,45

1,43

1,41

1,40

0

14

-

-

1,38

1,37

1,35

1,33

Р

15

-

-

1,32

1,30

1,29

1,27

Q

R

16 17

-

--

1,25
1,18

1,24
1,17

1,22
1,15

1,20
1,14

S

18

-

-

1,12

1,11

1,09

1,08

T

19

-

-

1,06

1,04

1,02

1,01

U

20

-

-

1,00

0,98

0,97

1,96

V

21

-

-

0,94

0,93

0,91

0,90

W

22

-

-

0,88

0,87

0,85

0,84

X

23

-

-

0,82

0,81

0,80

0,78

Y

24

-

-

0,77

0,75

0,74

0,73

Z

25

-

-

0,72

0,70

0,69

0,68


Таблица рассчитана для координатной сетки QTH-локаторов от АА до ZZ, т. е. от 40 до 65° с. ш. и 0 до 50° з. д. В случае, если корреспондент находится западнее 0° з. д. или южнее 40° с. ш., например, ZN38J (Англия) или IZ12e (Средняя Азия), то N1 и N2 начинают считать со знаком "минус" в противоположную сторону, т. е. Z=-1, У=-2, Х=-3 и т. д. Если корреспондент находится восточнее 50° з. д., например, EQ14a (Свердловск), то счет N1 продолжается дальше, т. е. A=25, B=27, ..., E=30 и т. д.

Рассмотрим два примера:

1. Определить расстояние между I корреспондентом UK3AAC (SPI9e) и II - UA3TCF (WQ14a):

q-lok2.gif

A11=22+0,1*4+0,02=22,42;

B11=16-0,125*1+0,96=16,84.

Более южная станция UK3AAC, так как NI2 <NII2, следовательно, 4cos2j=1,27, тогда

q-lok3.gif

2. Определить расстояние между UK3AAC и DL7SW (F051g):

A11=5+0,1*1+0,02=5,12;

В11=14-0,125*5+0,89=14,27.

Более южная станция DL7SW, следовательно, 4cos2j=1,37, тогда

q-lok4.gif

РАДИО N 5, 1978 г., c.23.


Программы для рассчета QTH-локатора можно найти по следующим адресам:

krasnodar.online.ru/hamradio/locator.htm

pw1.netcom.com/~burtonpt/azmap.htm

www.nucleus.com/~field/Azimuth.html

www.kursknet.ru/~wim_wkm/

www.qrz.ru/shareware/detail/192

www.qrz.ru/shareware/detail/260

www.qrz.ru/shareware/detail/135


Добавил:  Павел (Admin)  
Автор:  С. БУБЕННИКОВ (UK3AAC), мастер спорта СССР (РАДИО N 5, 1978 г.) 

Вас может заинтересовать:

  1. ОПРЕДЕЛЕНИЕ РАССТОЯНИЙ С ПОМОЩЬЮ QTH-ЛОКАТОРА
  2. ПАКЕТНАЯ СВЯЗЬ: ПРОТОКОЛ АХ.25
  3. ВЫСОКОЧАСТОТНЫЕ НАВОДКИ В РАДИОЛЮБИТЕЛЬСКОЙ ПРАКТИКЕ
  4. Пробуем работать APRS через сервер в INTERNET
  5. Частоты для работы цифровыми видами связи


    © PavKo, 2007-2018   Обратная связь   Ссылки views: 32236 -- users: 30869 -- web3   Яндекс.Метрика