Портал для радиолюбителей
   Измерение параметров Тиля-Смолла в домашних условиях
    Главная -> Статьи -> Измерительная техника -> Измерение параметров Тиля-Смолла в домашних условиях


<< Назад в раздел   Распечатать Дата добавления: 2008-05-14 | Просмотров: 9462

Большинство параметров для изготовления акустического оформления может быть измерено или рассчитано в домашних условиях с помощью не особо сложных измерительных приборов и компьютера или калькулятора, умеющего извлекать корни и возводить в степень. Автор этого "труда" не претендует на особые знания в области теории, а все тут изложенное является компиляцией из различных источников - как иностранных, так и российских.

Самыми основными параметрами, по которым можно рассчитать и изготовить акустическое оформление (проще говоря - ящик) являются:

  • Резонансная частота динамика Fs (Герц)
  • Эквивалентный объем Vas (литров или кубических футов)
  • Полная добротность Qts
  • Сопротивление постоянному току Re (Ом)
  • Для более серьезного подхода понадобится еще знать:

  • Механическую добротность Qms
  • Электрическую добротность Qes
  • Площадь диффузора Sd (м2) или его диаметр Dia (см)
  • Чувствительность SPL (dB)
  • Индуктивность Le (Генри)
  • Импеданс Z (Ом)
  • Пиковую мощность Pe (Ватт)
  • Массу подвижной системы Mms (г)
  • Относительную жесткость Cms (метров/ньютон)
  • Механическое сопротивление Rms (кг/сек)
  • Двигательную мощность BL
  • Измерение Re, Fs, Fc, Qes, Qms, Qts, Qtc, Vas, Cms, Sd.

    Для проведения измерений этих параметров вам понадобится следующее оборудование: 1. Вольтметр
    2. Генератор сигналов звуковой частоты
    3. Частотомер
    4. Мощный (не менее 5 ватт) резистор сопротивлением 1000 ом
    5. Точный (+- 1%) резистор сопротивлением 10 ом
    6. Провода, зажимы и прочая дребедень для соединения всего этого в единую схему.

    Конечно, в этом списке возможны изменения. Например, большинство генераторов имеют собственную шкалу частоты и частотомер не является в таком случае необходимостью. Вместо генератора можно также использовать звуковую плату компьютера и соответствующее программное обеспечение, способное генерировать синусоидальные сигналы от 0 до 200Гц требуемой мощности.

    Рис. 1

    Схема для измерений

    Калибровка: Для начала необходимо откалибровать вольтметр. Для этого вместо динамика подсоединяется сопротивление 10 Ом и подбором напряжения, выдаваемого генератором, надо добиться напряжения 0.01 вольта. Если резистор другого номинала, то напряжение должно соответствовать 1/1000 номинала сопротивления в омах. Например для калибровочного сопротивления 4 ома напряжение должно быть 0.004 вольта. Запомните! После калибровки регулировать выходное напряжение генератора НЕЛЬЗЯ до окончания всех измерений.

    Нахождение Re Теперь, подсоединив вместо калибровочного сопротивления динамик и выставив на генераторе частоту, близкую к 0 герц, мы можем определить его сопротивление постоянному току Re. Им будет являться показание вольтметра, умноженное на 1000. Впрочем, Re можно замерить и непосредственно омметром.

    Нахождение Fs и Rmax Динамик при этом и всех последующих измерениях должен находиться в свободном пространстве. Резонансная частота динамика находится по пику его импеданса (Z-характеристике). Для ее нахождения плавно изменяйте частоту генератора и смотрите на показания вольтметра. Та частота, на которой напряжение на вольтметре будет максимальным (дальнейшее изменение частоты будет приводить к падению напряжения) и будет являться частотой основного резонанса для этого динамика. Для динамиков диаметром больше 16см эта частота должна лежать ниже 100Гц. Не забудьте записать не только частоту, но и показания вольтметра. Умноженные на 1000, они дадут сопротивление динамика на резонансной частоте Rmax, необходимое для расчета других параметров.

    Нахождение Qms, Qes и Qts Эти параметры находятся по следующим формулам:

    Рис. 2

    Как видно, это последовательное нахождение дополнительных параметров Ro, Rx и измерение неизвестных нам ранее частот F1 и F2. Это частоты, при которых сопротивление динамика равно Rx. Поскольку Rx всегда меньше Rmax, то и частот будет две - одна несколько меньше Fs, а другая несколько больше. Вы можете проверить правильность своих измерений следующей формулой:

    Если расчетный результат отличается от найденного ранее больше, чем на 1 герц, то нужно повторить все сначала и более аккуратно. Итак, мы нашли и рассчитали несколько основных параметров и можем на их основании делать некоторые выводы:
    1. Если резонансная частота динамика выше 50Гц, то он имеет право претендовать на работу в лучшем случае как мидбас. О сабвуфере на таком динамике можно сразу забыть.
    2. Если резонансная частота динамика выше 100Гц, то это вообще не низкочастотник. Можете использовать его для воспроизведения средних частот в трехполосных системах.
    3. Если соотношение Fs/Qts у динамика составляет менее 50-ти, то этот динамик предназначен для работы исключительно в закрытых ящиках. Если больше 100 - исключительно для работы с фазоинвертором или в бандпассах. Если же значение находится в промежутке между 50 и 100, то тут нужно внимательно смотреть и на другие параметры - к какому типу акустического оформления динамик тяготеет. Лучше всего для этого использовать специальные компьютерные программы, способные смоделировать в графическом виде акустическую отдачу такого динамика в разном акустическом оформлении. Правда при этом не обойтись без других, не менее важных параметров - Vas, Sd, Cms и L.

    Нахождение Sd Это так называемая эффективная излучающая поверхность диффузора. Для самых низких частот (в зоне поршневого действия) она совпадает с конструктивной и равна:

    Радиусом R в данном случае будет являться половина расстояния от середины ширины резинового подвеса одной стороны до середины резинового подвеса противоположной. Это связано с тем, что половина ширины резинового подвеса также является излучающей поверхностью. Обратите внимание что единица измерения этой площади - квадратные метры. Соответственно и радиус нужно в нее подставлять в метрах.

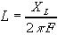
    Нахождение индуктивности катушки динамика L Для этого нужны результаты одного из отсчетов из самого первого теста. Понадобится импеданс (полное сопротивление) звуковой катушки на частоте около 1000Гц. Поскольку реактивная составляющая (XL) отстоит от активной Re на угол 900, то можно воспользоваться теоремой Пифагора:

    Поскольку Z (импеданс катушки на определенной частоте) и Re (сопротивление катушки по постоянному току) известны, то формула преобразуется к:

    Найдя реактивное сопротивление XL на частоте F можно рассчитаь и саму индуктивность по формуле:

    Измерения Vas Есть несколько способов измерения эквивалентного объема, но в домашних условиях проще использовать два: метод "добавочной массы" и метод "добавочного объема". Первый из них требует из материалов несколько грузиков известного веса. Можно использовать набор грузиков от аптечных весов или воспользоваться старыми медными монетками 1,2,3 и 5 копеек, поскольку вес такой монетки в граммах соответствует номиналу. Второй метод требует наличия герметичного ящика заранее известного объема с соответствующим отверстием под динамик.

    Нахождение Vas методом добавочной массы Для начала нужно равномерно нагрузить диффузор грузиками и вновь измерить его резонансную частоту, записав ее как F's. Она должна быть ниже, чем Fs. Лучше если новая резонансная частота будет меньше на 30%-50%. Масса грузиков берется приблизительно 10 граммов на каждый дюйм диаметра диффузора. Т.е. для 12" головки нужен груз массой около 120 граммов. Затем необходимо рассчитать Cms на основе полученных результатов по формуле:

    где М - масса добавленных грузиков в килограммах. Исходя из полученных результатов Vas(м3) рассчитывается по формуле:

    Нахождение Vas методом добавочного объема Нужно герметично закрепить динамик в измерительном ящике. Лучше всего это сделать магнитом наружу, поскольку динамику все равно, с какой стороны у него объем, а вам будет проще подключать провода. Да и лишних отверстий при этом меньше. Объем ящика обозначен как Vb. Затем нужно произвести измерения (резонансной частоты динамика в закрытом ящике) и, соответственно, вычислить Qmc,Qec и Qtc. Методика измерения полностью аналогична описанной выше. Затем находится эквивалентный объем по формуле:

    Практически с теми же результатами можно использовать и более простую формулу:

    Полученных в результате всех этих измерений данных достаточно для дальнейшего расчета акустического оформления низкочастотного звена достаточно высокого класса. А вот как оно рассчитывается - это уже совсем другая история...

    Учтите, что приведенная выше методика действенна только для измерения параметров динамиков с резонансными частотами ниже 100Гц, на более высоких частотах погрешность возрастает.


    Добавил:  Павел (Admin)  
    Автор:  Неизвестно 

    Вас может заинтересовать:

    1. Простой частотомер из китайского приемника
    2. Транзисторный пробник, которым можно проверять транзисторы не выпаивая их из схемы
    3. Универсальный пробник
    4. Измеритель тока в антенне
    5. Простой измеритель емкости и тока утечки электролитических конденсаторов


        © PavKo, 2007-2018   Обратная связь   Ссылки views: 944 -- users: 477 -- web3   Яндекс.Метрика