Портал для радиолюбителей
   Источники питания для ламповой High-End аудио аппаратуры
    Главная -> Статьи -> Ламповые усилители низкой частоты -> Источники питания для ламповой High-End аудио аппаратуры


<< Назад в раздел   Распечатать Дата добавления: 2008-03-27 | Просмотров: 27820

1. Введение

Источник питания усилителя, которому в многочисленных публикациях, описывающих конструкции ламповых усилителей, часто посвящается три слова “особенностей не имеет”, может оказывать существенное влияние на качество звука. Можно выделить четыре основных фактора, объясняющих это влияние при неудачной конструкции источника:

  1. Источник питания может способствовать проникновению в питаемое устройство помех из сети и возникновению сетевой мультипликативной помехи.
  2. Элементы источника питания сами могут генерировать помехи в очень широком диапазоне частот (от звукового диапазона до радио частот).
  3. Через нелинейные элементы источника питания протекают сигнальные токи.
  4. В нестабилизированных источниках изменение нагрузки может приводить к значительным колебаниям выходного напряжения, приводящих к нарушению работы усилительных каскадов.

Перечисленные выше причины не являются новостью и давно известны (как и методы их устранения) проектировщикам высокочувствительной и измерительной аппаратуры, но часто не учитываются при проектировании источников питания для аудио аппаратуры.

В High-End аудио технике мелочей не бывает. Поэтому в данной статье я хочу напомнить вам об этой проблеме и попытаюсь показать механизм возникновения искажений и помех, обусловленных источником питания, и методы их уменьшения.

Некоторые рекомендации, приведенные ниже, целиком справедливы и для транзисторных устройств, хотя основное внимание будет уделено ламповым схемам. Рассматривать источник питания мы будем по направлению распространения мощности – начнем силовым трансформатором и закончим выходным фильтром.

2. Силовой трансформатор

2.1. Электромагнитные режимы трансформатора

Силовой трансформатор является основным источником магнитных помех и акустического шума. Как магнитные помехи, так и акустический шум существенно зависят от выбора электромагнитного режима работы трансформатора. Одним из важных факторов при проектировании трансформатора является выбор величины магнитной индукции в сердечнике. Существует два подхода выбора величины магнитной индукции. Для трансформаторов достаточно большой мощности (начиная с 200 Ватт и выше, в зависимости от используемого материала и частоты) основным критерием являются тепловые режимы. Для трансформаторов малой мощности (до~ 1КВт с рабочей частотой 50 ÷ 60 Hz) основным ограничением является начало насыщения сердечника. Как раз трансформаторы такого типа и используются для интересующих нас источников питания.

Естественно, производители трансформаторов стремятся максимально использовать возможности магнитного материала выбором высоких значений индукции, что позволяет снизить массу, габариты и, конечно, стоимость. Такие же рекомендации приводятся в руководствах по расчету силовых трансформаторов, например, для широко используемой кремниевой стали 3412 рекомендуют индукцию 1.55 ÷ 1.65 Т (мощность трансформатора 20 ÷ 250 Вт) [1]-->

Для выяснения влияния выбранного значения индукции B на работу трансформатора целесообразно рассмотреть режим холостого хода (подключение нагрузки не изменяет характер электромагнитных процессов, ситуация может только ухудшиться).

При подключении первичной обмотки трансформатора к переменному напряжению в ней начнет протекать ток, создающий в сердечнике электромагнитное поле, которое по закону электромагнитной индукции наведет в обмотке напряжение самоиндукции E1.

(1),

где Φ - магнитный поток, - число витков в обмотке.

Выражение 1 можно записать в другом виде:

(2),

где S – активная площадь сечения сердечника.

Если напряжение сети синусоидально, то и индукция должна изменяться по синусоидальному закону. Возникшее в обмотке напряжение E1 компенсирует приложенное напряжение сети, реактивный ток намагничивания - Ix в обмотке определится величиной потерь, возникающих при создании магнитного потока (или индукции) и будет сдвинут по фазе относительно приложенного напряжения на 90°.

Для понимания происходящих процессов необходимо записать еще две формулы.

Величина магнитной индукции зависит от напряженности магнитного поля следующим образом:

(3),

где µ - относительная магнитная проницаемость материала, µ0 - магнитная константа (магнитная проницаемость вакуума), H - напряженность магнитного поля.

Ток намагничивания Ix зависит от напряженности магнитного поля:

(4),

где l– средняя длина магнитной силовой линии сердечника.

Как известно, для ферромагнитных материалов зависимость индукции B от напряженности поля H имеет нелинейный характер, для упомянутой выше стали 3412 модель кривой намагничивания имеет вид:


Рисунок 1

Из кривой намагничивания видно, что величина не является постоянной и зависит от значения B и H. Величина µ в точке А достаточно велика (400 ÷500), на участке АВ кривой намагничивания величина µ резко падает, и точку В можно считать началом насыщения сердечника, участок В – С соответствует глубокому насыщению сердечника, где значение µ не превышает нескольких единиц. Следовательно, за счет уменьшения величины µ при больших значениях индукции в сердечнике, в соответствии с формулой 3, будет возрастать напряженность магнитного поля H(сердечник близок к насыщению и индукция в нем изменяется весьма мало). Это, в соответствии с формулой 4, приведет к всплескам потребляемого от сети реактивного тока намагничивания. Соответственно, это приведет к повышенному уровню наводок на близлежащие проводники и элементы (ток намагничивания сердечника существенно нелинеен и обладает довольно широким спектром), а также к повышенному уровню акустических шумов, так как механические силы, воздействующие на обмотки и пластины сердечника, возрастают с увеличением индукции и тока.

Еще одним отрицательным фактором выбора индукции, близкой к предельной, является повышенная величина поля рассеяния трансформатора. Значение относительной магнитной проницаемости материала -µ отражает его способность концентрировать в себе магнитное поле. При сильных полях величина µ падает, и значительная часть магнитных силовых линий начинает замыкаться не через сердечник, а по воздуху.

Особенно опасно выбирать рабочие значения индукции в сердечнике близко к резкому изгибу кривой намагничивания. Незначительное повышение напряжения питания или незначительная асимметрия выпрямителя и обмоток приведет (асимметрия выпрямителя и обмоток приводит к появлению постоянной составляющей в токах и перемагничиванию сердечника по смещенной, частной петле намагничивания) к существенному изменению режима трансформатора. Поэтому использование рекомендованного значения индукции 1.55 ÷ 1.65 Т может приводить к нежелательным эффектам, описанным выше. На рисунке 2 показано, как изменится ток намагничивания трансформатора мощностью 180 Ватт с сердечником из стали 3412 при повышении напряжения питания на 10%, а на рисунке 3 - его спектр при повышенном напряжении.


Рисунок 2


Рисунок 3

Уменьшение величины максимальной индукции в сердечнике, конечно, приводит к увеличению габаритов трансформатора, увеличению потерь в меди и повышению стоимости, но позволяет существенно уменьшить уровень акустических шумов и электромагнитных помех, что для высококачественной аудио аппаратуры является главным.

2.2. Особенности конструкции трансформатора

Силовой трансформатор является мостом, соединяющим сеть с усилительным устройством, и через него передается не только поток полезной мощности, но и помехи. Наша задача обеспечить передачу полезной мощности с минимальными потерями и преградить путь помехам. Для увеличения передаваемой полезной мощности необходимо снижать индуктивности рассеяния, а для уменьшения уровня проникающих помех необходимо уменьшать проходную емкость трансформатора (более подробно со способами реализации этих требований можно ознакомится в книге Г.С. Цыкина Трансформаторы низкой частоты).

Наличие в трансформаторе электростатического экрана (экран должен быть заземлен в своей средней точке) между первичной Lp и вторичной Ls обмотками частично решает этот вопрос.

Рисунок 4 Рисунок 5

Из рисунка 4 понятно, что паразитная проходная емкость уменьшится за счет разбиения ее на две последовательно соединенные емкости, токи помех будут замыкаться через экран на корпус устройства. Однако, на высоких частотах за счет увеличения импеданса заземления L эффективность экрана будет падать. Вы можете спросить, какое нам дело до высоких частот?

Дело в том, что это приводит к возникновению мультипликативной помехи, вызывающей повышение уровня фона, который невозможно подавить фильтрацией напряжений питания или экранированием входных каскадов усилителя, также эта помеха может нарушить работоспособность других устройств, подключенных к усилителю. Особенно сильно эта помеха может повлиять на тьюнер.

Кратко, механизм возникновения помехи объясняется следующим эффектом.

Время проводимости диодов при работе на фильтр, начинающийся с емкости, равна приблизительно трети полупериода сетевого напряжения. Значит, корпус усилителя с удвоенной частотой сетевого напряжения будет подключаться через проходную емкость трансформатора к сетевым проводам. Кроме того, в разных полупериодах величина этой емкости будет различна, потому что С1+С2  С1’+C2’, и в стандартных силовых трансформаторах меры для симметрирования паразитных емкостей, как правило, не применяются.

Если теперь рассмотреть входные цепи усилителя с подключенными соединительными проводами, как антенну, то становится понятно, что эффективность этой антенны будет изменяться синхронно с работой выпрямителя. Это приводит к перемножению спектров паразитного высокочастотного сигнала со спектром пульсирующего выпрямленного напряжения, которое, детектируясь на малых нелинейностях входных цепей, вызывает появление фона.

Существует простой способ устранения такой помехи, который я опишу ниже, но кардинальным решением будет использование выпрямителя со средней точкой (рисунок 5). Такая схема при правильной конструкции трансформатора, то есть если обеспечена симметрия обмоток по активному сопротивлению (это важно для симметричного перемагничивания сердечника) и паразитным емкостям, обеспечивает отличное подавление синфазных сетевых помех и постоянную величину паразитной емкости между корпусом устройства и сетевыми проводами.

Я считаю, что для High-End аудио аппаратуры целесообразно обмотки накала также выполнять симметричными с отводом от средней точки, тем более что при использовании ламп прямого накала это обязательное требование.

 

3. Выпрямитель

3.1. Схема выпрямителя

Как было показано выше, двухполупериодный выпрямитель со средней точкой (рисунок 5) по своим качествам больше подходит для аудио аппаратуры. Есть у него еще одно преимущество перед схемой Герца (рисунок 4), особенно ощутимое при использовании вакуумных диодов (кенотронов). Если учесть, что на вакуумном диоде падает 50 ÷ 60 вольт, против 1 ÷ 2 вольт на твердотельном диоде, наличие в цепи выпрямленного тока только одного диода, а не двух последовательно включенных диодов, как в схеме Герца, дает ощутимое преимущество в КПД.

При выборе типа выпрямителя не следует забывать, что двухполупериодный выпрямитель имеет и ряд недостатков перед схемой Герца. Это повышенное обратное напряжение на диоде и увеличенная габаритная мощность трансформатора. Более подробно с расчетом выпрямителей можно ознакомится, например, в [1], [8], пример расчета выпрямителя на вакуумных диодах доступен в WEB по адресу NexTube.

Если применение мостового выпрямителя совершенно необходимо для устранения мультипликативной помехи, в выпрямитель следует добавить две дополнительные емкости Сb (рисунок 6). При этом диоды не будут коммутировать паразитные емкости трансформатора, и условия для возникновения мультипликативной помехи исчезнут. Аналогичного эффекта можно достигнуть, зашунтировав диоды выпрямителя емкостями, тем более что шунтирующие емкости необходимы для устранения еще одного отрицательного эффекта, о котором я скажу ниже.

Для высоковольтных выпрямителей достаточна величина Cb порядка несколько тысяч пикофарад, для низковольтных выпрямителей на большие токи требуется емкость в единицы микрофарад.

Рисунок 6

3.2. Выпрямительные диоды

В настоящее время, в качестве выпрямительных диодов используют твердотельные устройства, они характеризуются малыми габаритами, малым падением напряжения и высокой надежностью. Но во многих публикациях отмечалось, что усилитель, снабженный выпрямителем на твердотельных диодах, звучит хуже, чем этот же усилитель с выпрямителем на вакуумных диодах.

Одной из причин этого является возникновение высокочастотных колебаний с широким спектром во время процесса запирания диода при смене на нем полярности приложенного напряжения.

Упрощенно, не углубляясь в физику работы полупроводникового диода (процессы коммутации диодом тока весьма сложны), механизм возникновения помех объясняется протеканием через диод обратного тока и резким его прерыванием в момент запирания.

На рисунке 7 показана временная диаграмма тока, текущего через диод при его запирании.

При протекании через диод прямого тока (диод открыт) в области базы происходит накопление избыточных зарядов. По мере уменьшения разности потенциалов на выводах диода ток через него уменьшается и в точке А становится равным нулю. Но диод еще не заперся, и при смене полярности на его электродах через диод будет протекать реверсный ток, рассасывающий избыточный заряд в области базы, падение напряжения на диоде приблизительно равно прямому падению. Когда базовый заряд станет равным нулю, прямое напряжение на диоде резко изменяется на обратное. Этот момент запирания диода соответствует точке В на диаграмме. Как видно из диаграммы, процесс установления обратного сопротивления происходит очень быстро (~0.3 µS) и сопровождается прерыванием тока, что и вызывает возникновение паразитных колебаний.

Рисунок 7 Рисунок 8

Амплитуда реверсного тока существенно зависит от избыточного заряда базы, который, в свою очередь, зависит от величины прямого тока через диод и конструктивных параметров диода, связанных с площадью кристалла [2]. Поэтому, часто встречающаяся в литературе [3] рекомендация использовать для выпрямителя мощные низкочастотные диоды совершенно справедлива и позволяет уменьшить паразитные колебания. Это происходит за счет снижения избыточного заряда базы, то есть снижения амплитуды реверсного тока и более медленного процесса восстановления обратного сопротивления. Однако, используя мощные, низкочастотные полупроводниковые диоды следует учитывать, что они имеют очень большую барьерную емкость, которая может, как уменьшить величину паразитных колебаний, так и привести к их возрастанию. Характер ее влияния зависит как от режима работы диода, так и от цепей, к которым он подключен.

Существует еще один способ демпфирования паразитных колебаний, очень часто использующийся в импульсных преобразователях. Это шунтирование диода демпфирующей RC цепью (рисунок 8), обеспечивающей подавление паразитных колебаний и их быстрое затухание. Точный расчет значений R и C довольно сложен, величина C, лежит в пределах 100 ÷ 10000 pF, R – 10 ÷ 100 Ом. Чем меньше величина выпрямленного напряжения, тем больше величина C и меньше R.

Для источников питания ламповых усилителей средней мощности в качестве выпрямительных диодов целесообразно использовать вакуумные диоды.

Их основным преимуществом является отсутствие эффекта протекания реверсного тока [4], что обеспечивает полное отсутствие паразитных колебаний в моменты коммутации тока. Высокое динамическое сопротивление вакуумного диода, которое часто определяется как его недостаток, в нашем случае, становится достоинством, так как эффективно демпфирует импульсы тока, потребляемого емкостным фильтром. Возможно, именно различием динамических сопротивлений можно объяснить некоторое различие в звучании усилителя с разными типами вакуумных диодов.

Если Вы используете твердотельные диоды, то при небольших выпрямленных токах и высоких напряжениях целесообразно включить последовательно с каждым из них активное сопротивление величиной 30 ÷ 100 Ом. Это не только уменьшит амплитуду импульса потребляемого тока, но и существенно улучшит режим коммутации диода, естественно ценой этому будет снижение КПД.

Еще одним достоинством вакуумного диода является очень маленькая (4 ÷ 6 pF) и практически независимая от обратного напряжения проходная емкость.

Также немаловажным фактором является плавное нарастание анодного напряжения при включении схемы.

Недавно появившиеся высоковольтные диоды на основе карбида кремния [5] обладают временем восстановления обратного сопротивления равным нулю, и по этому параметру сравнялись с вакуумными диодами. Возможно, это поставит точку в затянувшемся споре, какой тип лучше использовать в высоковольтных выпрямителях аудио аппаратуры, но пока нет какой- либо информации об использовании этого типа диодов в аудио аппаратуре и влиянии их на качество звука.

4. Выходной фильтр

4.1. Схема фильтра

В источниках питания аудио аппаратуры используется два типа фильтров: Π - фильтр, начинающийся с емкости (рисунок 9) и L – фильтр, начинающийся с индуктивности (рисунок 10).

Рисунок 9 Рисунок 10

Наиболее часто используют Π - фильтр, это объясняется следующими причинами:

Во-первых, необходимое напряжение Us на вторичных обмотках трансформатора при заданном выходном напряжении Uo, как правило получается меньше (это справедливо при значении Uo ~ 300 ÷ 400 V и токах нагрузки Io~ 50 ÷ 300 mA). Во-вторых, фильтрующие свойства Π - фильтра лучше и необходимые значения элементов при заданном коэффициенте пульсаций будут меньше. В третьих, перенапряжения, возникающие на элементах фильтра при включении питания и скачках нагрузки меньше. Но у него есть существенный недостаток – импульсный характер потребления тока от выпрямителя. Импульсы тока имеют значительную амплитуду, превышающую выпрямленный ток в несколько раз, и широкий спектр.


Рисунок 11


Рисунок 12

На рисунках 11 и 12 показана форма потребляемого тока и, соответственно, спектр тока полуобмотки трансформатора для обоих типов фильтров при одинаковых выходных параметрах.

Из приведенных графиков видно, что использование L – фильтра, с позиций получения минимального уровня помех генерируемых источником питания, является предпочтительным. Но использование L – фильтра может потребовать дополнительных мер по стабилизации выходного напряжения, что приведет к повышению стоимости источника питания. Для усилителей, работающих в классе “А”, для которых характерны незначительные изменения потребляемого тока, будет достаточным дополнительная фиксированная нагрузка на выпрямитель (15 ÷ 20% от потребляемой мощности). Двухтактные усилители, работающие в классе “АВ” и потребляющие существенно изменяющийся ток, потребуют использования электронного стабилизатора выходного напряжения. Причем стабилизатор должен быть выполнен по параллельной схеме, что обеспечит отсутствие реакции фильтра на скачки потребляемого тока.

Использование выходного стабилизатора желательно для любого типа фильтра и для любых режимов работы выходного каскада. Если Вы себе можете это позволить, то используйте стабилизированный источник питания.

4.2. Выбор параметров фильтра

Выходной фильтр источника питания аудио усилителя должен удовлетворять четырем основным требованиям:

  1. Должен обеспечиваться заданный коэффициент сглаживания выходного напряжения для получения заданного коэффициента пульсаций - KR.
  2. Должен обеспечиваться заданный коэффициент частотных искажений на низшей частоте рабочего диапазона усилителя - KF.
  3. Должны обеспечиваться желаемые переходные процессы в фильтре при включении питания и скачках тока нагрузки, гарантирующие отсутствие перенапряжения на элементах фильтра и схемы.
  4. Элементы фильтра, через которые возможно протекание сигнальных токов, должны быть максимально линейными.

Вопрос расчета параметров фильтра по заданному значению KR, достаточно подробно рассмотрен в многочисленной литературе, например [1], [6], [8] и особенностей не имеет. В результате расчета Вы получите значение произведения LC. Значения L и C могут уточниться при дальнейших расчетах, но величина их произведения не должна быть меньше первоначально полученного результата, также значение L не должна быть меньше критической величины Lmin, гарантирующей непрерывный ток дросселя при минимальном токе нагрузки. Это значение можно определить для двухполупериодного выпрямителя по формуле:

(5),

где FLINE – частота сетевого напряжения, Iomin – минимальный ток нагрузки.

Рекомендуемые коэффициенты пульсаций - KR для различных каскадов усилителя приведены в таблице ниже.

Каскады высокой чувствительности

Промежуточные каскады

Однотактные выходные каскады

Двухтактные выходные каскады

0.001 ÷ 0.002 %

0.01 ÷ 0.05 %

0.1 ÷ 0.5 %

0.5 ÷ 2 %

Величина выходной емкости фильтра также регламентируется величиной коэффициента частотных искажений.

Ток, потребляемый однотактными каскадами, содержит кроме постоянной составляющей также и переменную составляющую, изменяющуюся с частотой сигнала, которая протекает по цепям источника питания. Из эквивалентной схемы (рисунок 14), полученной после преобразования схемы усилителя (рисунок 13), ясно видно, что источником переменной составляющей анодного тока является усилитель. На эквивалентной схеме лампа заменена генератором эквивалентной ЭДС - µUg, а выпрямитель заменен генератором переменного напряжения UR с сопротивлением потерь RR.

Коэффициент частотных искажений определяется как отношение тока звуковых частот при наличии фильтра к току звуковых частот при отсутствии фильтра и всегда меньше 1:

Рисунок 13 Рисунок 14

(6),

где Z – импеданс источника питания.

Удовлетворительные результаты получаются, если значение KF = 0.97 ÷ 0.99 [6].

Если учесть, что импеданс дросселя L практически всегда существенно больше импеданса емкости C, то, опустив промежуточные преобразования, необходимое значение емкости можно определить по формуле:

(7),

где FL – нижняя рабочая частота усилителя.

Как видно из рисунка 14, ток звуковой частоты протекает через выходную емкость источника питания, что требует применения линейных емкостей высокого качества (например, бумажных). Поэтому, выбор оптимальной величины этой емкости существенно влияет на стоимость источника питания.

Выбор величины выходной емкости источника питания для двухтактных схем имеет ряд отличий. В двухтактной схеме при идеальной симметрии половин выходного каскада через источник питания протекают только токи четных гармоник и общий постоянный ток выходных ламп, поэтому коэффициент частотных искажений не задается. Это свойство двухтактных каскадов позволяет использовать для выходной емкости фильтра электролитические, высококачественные конденсаторы.

Не следует забывать, что в реальных устройствах ассиметрия может достигать 10 ÷ 15 % (даже при подобранных лампах), и часть тока звуковой частоты будет протекать через источник питания.

Переходные процессы, возникающие в фильтре при включении источника питания и резких изменениях тока нагрузки, могут привести к перенапряжениям на элементах фильтра и схемы, а также к возникновению экстратоков через выпрямительные диоды. Особенно это характерно для L – фильтров.

На рисунке 15 показаны временные диаграммы напряженния на выходе фильтра и тока через дроссель (рисунок 10). Из них видно, что включение источника приводит к кратковременному возрастанию напряжения на выходе выпрямителя на 60 % и броску тока через дроссель, достигающего 0.67А, что может быть опасным для используемых компонентов. На этом же рисунке показана реакция фильтра на скачкообразное изменение (50%) потребляемого тока. Кроме того, что изменение тока нагрузки приводит к провалу и выбросу напряжения на выходе источника питания, переходной процесс носит колебательный характер.


Рисунок 15

Это пример неудачного выбора элементов фильтра. Использование источника питания с таким фильтром может привести к ухудшению качества звука, особенно это будет заметно при питании двухтактного усилителя, работающего в классе “АВ”, для которого характерны скачки потребляемого тока.

После выбора величин L и C фильтра необходимо проверить величину максимального тока Imax и напряжения Umax. Подключение источника питания к сети эквивалентно подключению LC цепи к источнику постоянного напряжения UIN (рисунок 16).


Рисунок 16

Определим собственную резонансную частоту фильтра как:

(8),

и декремент затухания как:

(9),

где RR – сопротивление потерь (включая динамическое сопротивление диода и приведенное сопротивления фазы трансформатора), RL – сопротивление нагрузки фильтра.

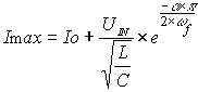
Теперь можно вычислить значения Imax и Umax:

(10),

(11),

где Io – установившееся значение тока.

Приемлемыми будут значения, если:

Imax 2Io;

Umax 1.2UIN.

При превышении рекомендованных значений необходимо для относительно маломощных источников увеличивать величину L. Для более мощных выпрямителей этот метод не используют, а применяют специальные методы пуска источника питания. Также следует стремиться к апериодическому характеру переходных процессов в фильтре.

Более подробно с методами расчетов и анализа процессов в LC цепях можно ознакомиться в книгах, посвященных теории электрических цепей [7].

Также является обязательной проверка максимального напряжения на выходном конденсаторе в режиме холостого хода. Либо используемые выпрямительные диоды и конденсатор должны выдерживать это напряжение, либо этот режим должен быть исключен.

Естественно, все расчеты проводятся при максимально возможном сетевом напряжении.

4.3. Элементы выходного фильтра

Требования к качеству выходной емкости фильтра были определены выше, к этому следует добавить, что желательно иметь некоторый запас рабочего напряжения емкости.

При электромагнитном расчете дросселя следует исключить возможность насыщения сердечника в любых режимах работы фильтра. Можно только допустить некоторое уменьшение величины индуктивности дросселя при пусковых режимах.

Конструктивное выполнение дросселя должно гарантировать минимальные поля рассеяния. Я специально акцентирую Ваше внимание на этом вопросе, потому что часто используемые дросселя от старой аппаратуры не удовлетворяют этому требованию. Так как дроссель работает при значительных токах подмагничивания, в него вводится воздушный зазор значительной величины. В районе воздушного зазора происходит выпучивание магнитного поля из сердечника, и если зазор не закрыт обмоткой (обмотка оказывает экранирующее действие), поле рассеяния будет повышенным.

5. Цепи накала

Оптимальная организация цепей накала ламп показана на рисунке 17. Такое подключение позволяет снизить уровень фона и помех в предварительных каскадах усиления не только для ламп прямого накала (такое включение обязательно), но и для ламп с подогревным катодом. Аналогичным образом организуются накальные цепи и для мощных выходных ламп.

fig. 17
Рисунок 17

Иногда, во входных каскадах для ламп с подогревным катодом, среднюю точку накальной обмотки подключают не к общему проводу, а к источнику положительного напряжения (50 ÷ 70 V). Это позволяет разорвать паразитные связи между нитью накала и катодом, что приводит к снижению уровня фона.

При использовании ламп прямого накала во входных каскадах, для дальнейшего уменьшения уровня фона, цепи накала питают постоянным током. Следует отметить одну особенность такого питания накала лампы. Использование постоянного тока приводит к неравномерности распределения потенциалов на катоде и участок катода с более отрицательным потенциалом изнашивается быстрее. В старой аппаратуре можно было встретить специальный переключатель для изменения полярности напряжения накала.

В настоящее время наблюдается тенденция использования мощных генераторных и регулирующих ламп в качестве выходных. Эти лампы требуют большой мощности накала и характеризуются значительным изменением сопротивления нити накала при прогреве. Также, большое изменение сопротивления характерно для ламп прямого накала с вольфрамовым катодом. По данным приведенным в [8], сопротивление нити накала может измениться в два три раза. Непосредственное подключение цепи накала такой лампы к трансформатору вызовет значительный бросок тока, что приводит к возникновению значительных тепловых деформаций и преждевременному разрушению катода.

Если Вы хотите продлить жизнь своим дорогостоящим выходным лампам, необходимо использовать пусковые цепи ограничивающие бросок тока через нить накала.

Самым простым решением вопроса будет включение дополнительного сопротивления последовательно с нитью накала, которое замыкается после предварительного прогрева.

6. Заключение

В этой статье я попытался обобщить требования и систематизировать сведения по проектированию источников питания для ламповой High-End аппаратуры.

Как Вы видите, проектирование высококачественного источника питания требует проведения достаточно большого объема расчетов (к сожалению, много тонкостей остались за пределами этой статьи в виду специфичности и сложности изложения). По возможности я приводил упрощенные соотношения, позволяющие с достаточной для практики точностью оценить правильность принятых Вами решений. Не следует забывать, что параметры используемых компонентов должны отвечать заданным требованиям.

Использование случайных компонентов и пренебрежение расчетами сможет испортить звук самого лучшего усилителя. Если Вы не можете приобрести соответствующие компоненты или не уверены в своих силах при расчетах, я рекомендую приобрести (или заказать) готовый источник питания.

На данный момент, источники питания отвечающие поставленным требованиям производит только одна фирма - Next Power. Там же можно сделать заказ источника питания (или отдельных компонентов) в соответствии с Вашей спецификацией.

Я надеюсь, что материалы этой статьи помогут Вам избежать ошибок при проектировании или приобретении готового источника питания для своего усилителя.

7. Литература

  1. Источники питания радиоэлектронной аппаратуры: Справочник под ред. Г.С. Найвельта, - М.:Радио и связь, 1986.
  2. А.К. Шидловский и др. Транзисторные преобразователи с улучшенной электромагнитной совместимостью, Киев: Наукова думка, 1993.
  3. Д. Андронников, SE на RB300, Вестник АРА № 3.
  4. В.Ф. Власов, Электронные и ионные приборы, Москва: Радио и связь, 1960.
  5. Infenion, thinQ!TM SiC Diode Chips.
  6. И.И. Буданцев, А.Р. Сиваков, Электропитание установок связи, Ленинград 1957
  7. Л.А. Бессонов, Теоретические основы электротехники, Москва: Высшая школа, 1978.
  8. Б.И. Терентьев, Электропитание радиоустройств, М.: Связьиздат, 1958.

  9. Добавил:  Павел (Admin)  
    Автор:  Евгений Карпов 

    Вас может заинтересовать:

    1. Простой двухтактный усилитель
    2. Один из вариантов оформления усилителя
    3. Ультралинейный усилитель с микрофонным входом
    4. Audio Note Conquest (300B)
    5. Двухтактный усилитель для НЧ канала на 6п45с


    © PavKo, 2007-2018   Обратная связь   Ссылки views: 4194 -- users: 4057 -- web3   Яндекс.Метрика